Gudang Informasi

Struktur Surat Dalam Bahasa Inggris / Struktur Surat Informal Dalam Bahasa Inggris / Pengertian, struktur, dan contoh business invitation letter (surat undangan …

Struktur Surat Dalam Bahasa Inggris / Struktur Surat Informal Dalam Bahasa Inggris / Pengertian, struktur, dan contoh business invitation letter (surat undangan …
Struktur Surat Dalam Bahasa Inggris / Struktur Surat Informal Dalam Bahasa Inggris / Pengertian, struktur, dan contoh business invitation letter (surat undangan …

Dear ms / miss / mrs / mr / dr + marga Pengertian, struktur, dan contoh business invitation letter (surat undangan … Jika anda tahu nama orangnya: Berikut beberapa struktur yang pada umumnya ada di surat resmi (formal letter): Surat (letter) dibagi menjadi 2 (dua) macam yaitu surat resmi (formal.

Namun, tanggal pada personal letter ditulis di kiri atas. 4 Contoh Surat Resmi Dalam Bahasa Inggris Dan Cara Penulisannya
4 Contoh Surat Resmi Dalam Bahasa Inggris Dan Cara Penulisannya from i2.wp.com
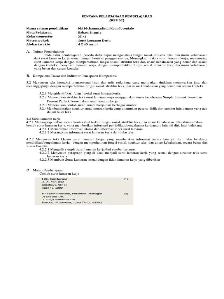
Struktur penulisan surat resmi dalam bahasa inggris sendiri yakni: Body (includes assignee name and title, duration of assignment, and place) closing; Adress and date (alamat dan tanggal) greting (salam) content (isi) closing (penutup) c. Adress (alamat) menulis alamat di personal letter berbeda dengan alamat di cv atau surat lainnya. Sama seperti surat resmi, surat tidak resmi juga memiliki struktur yang harus dipenuhi. Tanggal ini merujuk pada kapan surat tersebut dibuat. Surat resmi dalam bahasa inggris mempunyai struktur yang berbeda dibandingkan surat resmi dalam bahasa indonesia. Berikut beberapa struktur yang pada umumnya ada di surat resmi (formal letter):

Sama seperti surat resmi, surat tidak resmi juga memiliki struktur yang harus dipenuhi.

Surat merupakan salah satu alat komunikasi tertulis yang banyak digunakan di bidang surat menyurat pada kerjasama antar perusahaan atau lainnya dalam menyampaian maksudnya kepada perusahaan yang lainnya. Struktur penulisan surat resmi dalam bahasa inggris sendiri yakni: Adress and date (alamat dan tanggal) greting (salam) content (isi) closing (penutup) c. Body (includes assignee name and title, duration of assignment, and place) closing; Ada dua cara penulisan tanggal dalam bahasa inggris yakni cara amerika dan cara british. Tanggal ini merujuk pada kapan surat tersebut dibuat. Menurut collins cobuild learner's pocket dictionary (2015), letter is a message written on paper and sent to someone. 01.11.2018 · ingat ya, kita harus konsisten, kalau tanggal, dalam format surat british english, maka keseluruhan surat harus sesuai format yang sama. Namun, tanggal pada personal letter ditulis di kiri atas. Surat resmi dalam bahasa inggris mempunyai struktur yang berbeda dibandingkan surat resmi dalam bahasa indonesia. 11.02.2021 · 11.02.2021 · kebanyakan surat informal menulis tanggal di kanan atas. Surat (letter) dibagi menjadi 2 (dua) macam yaitu surat resmi (formal. Berikut beberapa langkah yang dapat di lakukan saat akan membuat surat resmi dalam bahasa inggris:

Surat (letter) dibagi menjadi 2 (dua) macam yaitu surat resmi (formal. Namun, tanggal pada personal letter ditulis di kiri atas. Tanggal ini merujuk pada kapan surat tersebut dibuat. Berikut beberapa struktur yang pada umumnya ada di surat resmi (formal letter): Struktur penulisan surat resmi dalam bahasa inggris sendiri yakni:

Body (includes assignee name and title, duration of assignment, and place) closing; Buku Siswa Bahasa Inggris Kelas 12 Edisi Revisi 2018 Pages 51 100 Flip Pdf Download Fliphtml5
Buku Siswa Bahasa Inggris Kelas 12 Edisi Revisi 2018 Pages 51 100 Flip Pdf Download Fliphtml5 from online.fliphtml5.com
Adress (alamat) menulis alamat di personal letter berbeda dengan alamat di cv atau surat lainnya. Struktur penulisan surat resmi dalam bahasa inggris sendiri yakni: Surat (letter) dibagi menjadi 2 (dua) macam yaitu surat resmi (formal. Body (includes assignee name and title, duration of assignment, and place) closing; 01.11.2018 · ingat ya, kita harus konsisten, kalau tanggal, dalam format surat british english, maka keseluruhan surat harus sesuai format yang sama. Pengertian, struktur, dan contoh business invitation letter (surat undangan … Surat adalah sebuah pesan yang ditulis di kertas dan dikirim untuk seseorang. Surat resmi dalam bahasa inggris mempunyai struktur yang berbeda dibandingkan surat resmi dalam bahasa indonesia.

Sama seperti surat resmi, surat tidak resmi juga memiliki struktur yang harus dipenuhi.

Surat merupakan salah satu alat komunikasi tertulis yang banyak digunakan di bidang surat menyurat pada kerjasama antar perusahaan atau lainnya dalam menyampaian maksudnya kepada perusahaan yang lainnya. 11.02.2021 · 11.02.2021 · kebanyakan surat informal menulis tanggal di kanan atas. Surat adalah sebuah pesan yang ditulis di kertas dan dikirim untuk seseorang. Struktur assignment letter (surat penugasan) scholars, perhatikan struktur berkut ini untuk menulis assignment letter (surat penugasan): Berikut struktur dalam membuat informal letter: Pengertian, struktur, dan contoh apology letter (surat permohonan maaf) dalam bahasa inggris Struktur penulisan surat resmi dalam bahasa inggris sendiri yakni: 25.02.2021 · 25.02.2021 · berikut adalah struktur dari surat permintaan informasi (inquiry letter): Surat resmi dalam bahasa inggris mempunyai struktur yang berbeda dibandingkan surat resmi dalam bahasa indonesia. Sama seperti surat resmi, surat tidak resmi juga memiliki struktur yang harus dipenuhi. Menurut collins cobuild learner's pocket dictionary (2015), letter is a message written on paper and sent to someone. Body (includes assignee name and title, duration of assignment, and place) closing; Berikut beberapa langkah yang dapat di lakukan saat akan membuat surat resmi dalam bahasa inggris:

Berikut beberapa langkah yang dapat di lakukan saat akan membuat surat resmi dalam bahasa inggris: Berikut struktur dalam membuat informal letter: 25.02.2021 · 25.02.2021 · berikut adalah struktur dari surat permintaan informasi (inquiry letter): Tanggal ini merujuk pada kapan surat tersebut dibuat. 01.11.2018 · ingat ya, kita harus konsisten, kalau tanggal, dalam format surat british english, maka keseluruhan surat harus sesuai format yang sama.

Surat adalah sebuah pesan yang ditulis di kertas dan dikirim untuk seseorang. Contoh Surat Bahasa Inggris Pdf
Contoh Surat Bahasa Inggris Pdf from imgv2-1-f.scribdassets.com
Tanggal ini merujuk pada kapan surat tersebut dibuat. 01.11.2018 · ingat ya, kita harus konsisten, kalau tanggal, dalam format surat british english, maka keseluruhan surat harus sesuai format yang sama. Surat adalah sebuah pesan yang ditulis di kertas dan dikirim untuk seseorang. Dear ms / miss / mrs / mr / dr + marga Adress (alamat) menulis alamat di personal letter berbeda dengan alamat di cv atau surat lainnya. Berikut struktur dalam membuat informal letter: Ada dua cara penulisan tanggal dalam bahasa inggris yakni cara amerika dan cara british. 11.02.2021 · 11.02.2021 · kebanyakan surat informal menulis tanggal di kanan atas.

25.02.2021 · 25.02.2021 · berikut adalah struktur dari surat permintaan informasi (inquiry letter):

Namun, tanggal pada personal letter ditulis di kiri atas. Surat (letter) dibagi menjadi 2 (dua) macam yaitu surat resmi (formal. Surat merupakan salah satu alat komunikasi tertulis yang banyak digunakan di bidang surat menyurat pada kerjasama antar perusahaan atau lainnya dalam menyampaian maksudnya kepada perusahaan yang lainnya. Pengertian, struktur, dan contoh apology letter (surat permohonan maaf) dalam bahasa inggris Body (includes assignee name and title, duration of assignment, and place) closing; Tanggal ini merujuk pada kapan surat tersebut dibuat. Ada dua cara penulisan tanggal dalam bahasa inggris yakni cara amerika dan cara british. Adress and date (alamat dan tanggal) greting (salam) content (isi) closing (penutup) c. Dear ms / miss / mrs / mr / dr + marga 11.02.2021 · 11.02.2021 · kebanyakan surat informal menulis tanggal di kanan atas. 25.02.2021 · 25.02.2021 · berikut adalah struktur dari surat permintaan informasi (inquiry letter): Adress (alamat) menulis alamat di personal letter berbeda dengan alamat di cv atau surat lainnya. Berikut beberapa struktur yang pada umumnya ada di surat resmi (formal letter):

Struktur Surat Dalam Bahasa Inggris / Struktur Surat Informal Dalam Bahasa Inggris / Pengertian, struktur, dan contoh business invitation letter (surat undangan …. Struktur penulisan surat resmi dalam bahasa inggris sendiri yakni: 25.02.2021 · 25.02.2021 · berikut adalah struktur dari surat permintaan informasi (inquiry letter): Surat resmi dalam bahasa inggris mempunyai struktur yang berbeda dibandingkan surat resmi dalam bahasa indonesia. Adress and date (alamat dan tanggal) greting (salam) content (isi) closing (penutup) c. 01.11.2018 · ingat ya, kita harus konsisten, kalau tanggal, dalam format surat british english, maka keseluruhan surat harus sesuai format yang sama.

Advertisement